食品与生物工程学院谷晋川教授环境污染治理研究团队,一直致力于环境污染治理、环境材料、废弃物资源化和难处理废水催化氧化技术研究,近期以谷晋川教授为通讯作者,陈怡博士为第一作者在Journal of Cleaner Production(一区,IF2021=9.297)上发表题为“Lanthanum/titanium dioxide immobilized onto industrial waste withenhanced photocatalytic activity, and the degradation ofdimethyl phthalate”的研究论文。

邻苯二甲酸酯(PAES)是潜在的内分泌干扰化学品和致癌物质,它可能导致氧化应激和免疫毒性。邻苯二甲酸二甲酯(DMP)是一种污染范围极广的PAES,具有持久性和难降解性,被列为环境优先污染物,必须探索从水中降解和消除DMP的有效方法。目前,利用二氧化钛(TiO2)作为光催化剂,通过紫外照射,用于去除DMP是一种较为有效的方法。为此,本研究针对催化降解方法利用过程中光利用率低、成本高、TiO2分散性差等问题,利用富含二氧化硅(SiO2)的工业固体废弃物—锂渣(L)作为载体,合成La/TiO2光催化剂,光催化降解DMP。研究成果不仅为DMP的去除提供了一种有效的方法,也为开发低成本、高性能的TiO2类光催化剂提供了一条绿色环保的新途径。
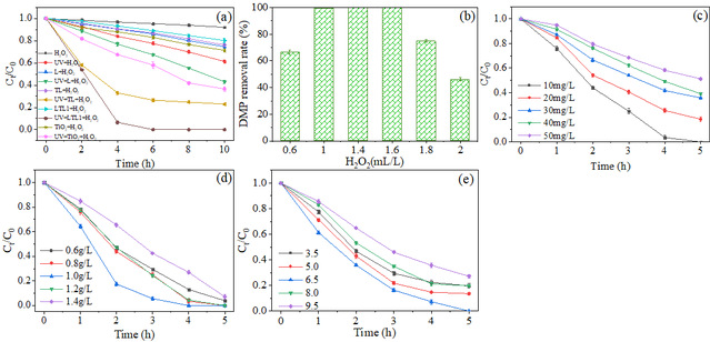
研究结果表明:紫外-催化剂体系可有效降解DMP,UV-La-TiO2/L(LTL1)体系对DMP的去除率显著高于UV-TiO2/L和UV-L。TiO2和La与L基体的协同作用是LTL1光催化效率增强的主要原因。在LTL1体系中添加过氧化氢(H2O2)可使体系中羟基自由基(OH•)和超氧 (O2−•)含量增加,从而提高体系对DMP的去除率,可达到100%。LTL1体系在低成本、环保的水中有机物去除方面具有广阔的应用前景。

Figure 1. DMP degradation by various H2O2 systems.

Figure 2. EPR spectra obtained in different systems using DMPO in the reaction mixture (a) and methanol solution (b).

Figure 3. A schematic diagram of photocatalytic DMP degradation by LTL1 with H2O2.
原文链接:
作者简介

谷晋川,博士,2138cn太阳城集团食品与生物工程学院教授,硕士研究生导师。一直致力于环境污染治理、环境材料、废弃物资源化和难处理废水催化氧化技术研究。先后主持或参与国家、省部级及其他项目60余项,发表论文70余篇,SCI、EI、CSCD收录30篇,主编或参编出版教材和专著5部,获发明专利3项。获部级科技成果三、四等奖各一次,二等奖三次,2016年获四川省科技进步二等奖1项。四川省环境科学学会理事,四川省固体废物处理专业委员会副主任,四川省生态文明促进会常务理事和专家咨询委员会专家,四川省循环经济促进会专家咨询委员会专家,成都市环境科学学会常务理事暨成都市环境监察专委会副主任,四川省普通本科高等学校环境科学与工程类专业教学指导委员会委员。

陈怡,工学博士,2138cn太阳城集团食品与生物工程学院环境工程系讲师,主要研究方向为环境材料及其在水污染防治中的应用。参与国家级和省部级课题9项,其他课题7项。发表论文10余篇,其中作为第一作者或通讯作者发表SCI论文5篇,包括JCR一区top期刊3篇。授权申请发明专利3项,实用新型专利2项。
