近日,食品与生物工程学院饶瑜教授团队在食品领域TOP期刊《International Journal of Food Microbiology》(中科院一区TOP)发表题为“Effect of quorum sensing signal molecular analog 4-hydroxy-5-methyl-3(2H)-furanone on the microbial diversity and flavor characteristics of Sichuan Paocai”的研究论文。2023级硕士研究生邓春辉为第一作者,饶瑜教授和梁紫微博士为本文的共同通讯作者。

论文截图
针对传统泡菜发酵依赖自然菌群、腐败风险高的局限,本研究以群体感应信号分子类似物4-羟基-5-甲基-3 (2H)-呋喃酮(MHF)为干预因子,系统探究其对四川泡菜发酵过程的调控作用。该策略可抑制克雷伯氏菌、肠杆菌、热带念珠菌等5种腐败菌的生物膜形成,同时显著提升植物乳杆菌相对丰度,优化泡菜发酵过程中的菌群结构。
MHF干预不仅可延迟泡菜表面白膜形成,延长货架期,有效降低泡菜发酵中亚硝酸盐(致癌前体物)和丁酸(异味来源)的生成量,更促进了风味物质如天门冬氨酸、谷氨酸等游离氨基酸含量提升,同时新增桉叶素、芳樟醇、苯乙醇等挥发性有机物,使泡菜的鲜香更浓郁、风味层次更丰富。解决了传统泡菜“风味好但易腐败”和“安全但口感寡淡”的矛盾。
本研究群体感应信号分子类似物应用于泡菜发酵,为发酵蔬菜的绿色防腐提供了新策略;并系统解析了MHF对菌群结构、代谢产物的调控机制,为泡菜风味的优化提供了新依据。MHF作为天然来源香料,具有安全性高、添加量低等显著优势,其应用无需破坏泡菜传统发酵特性,契合食品工业绿色化、功能化发展趋势,未来在泡菜工业化生产中具有广阔的应用前景。
图文赏析

MHF和AI-2的结构

不同MHF浓度对哈维氏弧菌BBI70发光的影响

不同MHF浓度对(A)植物乳杆菌、(B)阴沟肠杆菌、(C)特雷维桑克氏菌、(D)尤因氏假单胞菌、(E)毕赤酵母属以及(F)热带假丝酵母生长的影响

MHF对阴沟肠杆菌、尤因氏假单胞菌、特雷维桑克雷伯菌、热带假丝酵母和毕赤酵母属生物膜形成的影响

MHF抑制泡菜发酵过程中菌膜的形成

泡菜发酵过程中,MHF组和对照组的(A)pH 值、(B)微生物总数、(C)乳酸菌(LAB)、(D)真菌、(E)亚硝酸盐含量以及(F)还原糖水平的变化

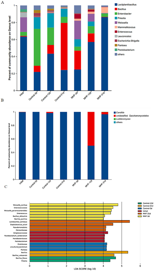
不同四川泡菜组中细菌和真菌群落的α多样性指数比较

不同泡菜组中属水平的(A)细菌和(B)真菌相对丰度。(C)线性判别分析效应量(LEfSe)分析中,线性判别分析(LDA)对数得分阈值≥4的细菌

对照组和MHF组发酵过程中(A)FAA 和(B)有机酸含量的变化

正交偏最小二乘判别分析OPLS-DA得分图及其S-plot图

发酵豇豆在前 31 天内微生物与风味物质之间的相关性网络分析
通讯作者简介:

饶瑜,博士,2138cn太阳城集团食品与生物工程学院教授,硕士生导师,副院长。美国麻省大学阿默斯特分校(UMass Amherst)访问学者,四川省学术和技术带头人后备人选,四川省海外高层次留学人才。主要从事果蔬益生发酵与高值化利用、农产品加工与贮藏中的微生物问题研究。主持国家自然科学基金、四川省重点研发项目、四川省应用基础项目等多项。第一作者或通讯作者发表SCI收录论文20余篇,授权国家发明专利3项。为International Journal of Food Microbiology, Food Control,Food & Function等期刊审稿人。获省级科技进步三等奖1项、市级科技进步三等奖1项。四川省一流本科课程负责人,主编教材1部,参编专著1部、教材3部。

梁紫微,2138cn太阳城集团食品与生物工程学院讲师,丹麦哥本哈根大学博士,瑞士苏黎世大学访问学者。主要从事致病菌生物膜形成分子机制、天然化合物抑菌机制等微生物防控研究工作。近年在Food Research International、Food Control、Frontiers in Microbiology等期刊发表多篇高水平学术论文,主持2138cn太阳城集团人才引进项目1项,作为技术骨干参与国家自然科学基金面上项目以及丹麦独立研究委员会项目。
第一作者简介:

邓春辉,2138cn太阳城集团食品与生物工程学院2023级硕士研究生,以第一作者身份在International Journal of Food Microbiology期刊发表论文一篇,获2138cn太阳城集团研究生学业奖学金一等奖、二等奖各一次,获评学校优秀毕业生。
