近日,理学院王继宇教授团队在国际Top学术期刊Organic Letters(中科院一区,IF = 5.2)上发表题为《Facile Construction of Benzo[d][1,3]oxazocine: Reductive Radical Dearomatization of N-Alkyl Quinoline Quaternary Ammonium Salts》的研究论文。论文通讯作者为王继宇教授,成都有机化学研究所博士研究生李福裕为论文第一作者,2138cn太阳城集团为该论文的第一完成单位。
含氮/含氧杂环化合物在自然界中广泛存在,特别是含有八元环的桥环化合物具有吸引力,因为这些具有类似切割形状官能团的分子最近已成为分子识中的有用工具。在该家族成员中,苯并噁唑嗪类化合物因其重要的药物性质而受到广泛关注,例如镇痛、抗血栓、抗癌和抗氧化活性。尽管苯并[d][1,3]噁唑嗪类化合物包含存在于天然产物和药物分子中的四氢喹啉和N,O-缩醛部分,但对其研究较少。去芳构化反应是一种有效的从简单化合物合成复杂分子的有效手段,比如合成三维结构的碳环分子。Taheri小组和Mondal小组开发了N-喹啉盐与酚类化合物的去芳构化反应,合成了苯并[d][1,3]噁唑嗪类化合物。然而未见自由基策略合成苯并[d][1,3]噁唑嗪的研究。因此我们发展了N-烷基喹啉季铵盐的还原自由基去芳构化反应,构建了结构复杂的苯并[d][1,3]噁唑嗪。
作者以N-苄基喹啉季铵盐1a和2-甲基烯丙醇2a作为模板底物,对催化剂、还原剂、溶剂、温度、时间和添加剂等进行筛选,得到最优条件:在氩气氛围下,以乙醇为溶剂,乙酰丙酮铁为催化剂,苯硅烷为还原剂,磷酸氢二钠为添加剂,50度油浴下反应3小时,最高91%的收率得到目标产物。作者通过1H NMR,13C NMR,HR-MS、XRD对化合物3a进行了结构鉴定。
该反应表现出良好的底物普适性。各种环状烯丙醇和具有不同取代基的烯丙醇,包括甲基、甲氧基、萘基、卤素,以中等到优异的收率下得到目标化合物(图1)。该反应也兼容不同喹啉季铵盐。各种取代的喹啉季铵盐,包括甲基、烯丙基、烷基、卤素,在中等到优异的收率下,生成了不同的苯并[d][1,3]噁唑嗪分子(图2)。与此同时,当反应放大到4 mmol时,而收率并不下降明显,证明了该反应具有潜在的应用前景(3a, 3v, 3aa, 3ai)。

图1.烯丙醇类底物扩展

图2.喹啉季铵盐类底物扩展
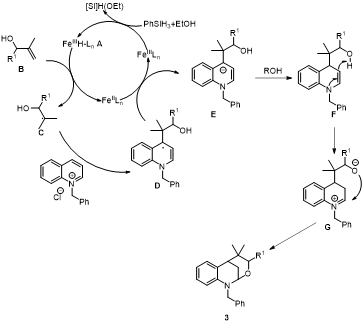
作者进行TEMPO捕获自由基实验,证明了该反应是自由基过程。通过控制实验证明了反应的历程以及添加剂的加入对反应有促进作用(图3)。

图3.反应机理研究
最后,作者根据控制实验和参考文献提出了一个可能的机理(图4)。其机制主要涉及到烷基自由基对喹啉季铵盐的亲核进攻和分子内的环化。

图4.可能得反应机理
综上,作者开发了N-烷基喹啉季铵盐的还原自由基去芳构化反应,以中等到优异的收率合成了结构复杂的多取代苯并[d][1,3]噁唑嗪。机理研究表明,烯丙醇在还原自由基的条件下可以转变为烷基自由基,烷基自由基发生对N-烷基喹啉季铵盐C4位的亲核进攻,再进行分子内的环化生成目标产物。该方法不仅能得到一系列新颖的多取代苯并[d][1,3]噁唑嗪,还可以构建螺环苯并[d][1,3]噁唑嗪,为合成苯并[d][1,3]噁唑嗪提供了一种新的策略。
文章链接:https://doi.org/10.1021/acs.orglett.3c04243
该项研究得到四川省科学技术项目(no. 2023NSFSC1977)、2138cn太阳城集团人才引进项目的资金支持。
王继宇教授:2138cn太阳城集团理学院化学系教师,中国科学院大学有机化学博士,硕士生导师,四川省海外高层次留学人才、四川省专家服务团专家、成都市特聘专家。2013年至2014年在美国科罗拉多州立大学化学系博士后,师从美国Cope奖获得者Robert M. Williams从事天然产物全合成工作。目前,主要从事通过自由基构建碳碳键和碳杂键、绿色合成化学及有机功能分子的设计与性能研究、两亲性分子的结构设计与性能研究等方面的研究工作。近年来,以项目负责人的身份完成纵横向合作项目总金额超1000万元。在Organic Letters、Chemical Communication、Organic Chemistry Frontiers、Advanced Synthesis & Catalysis、Journal of Organic Chemistry、Organic & Biomolecular Chemistry等国际国内期刊发表文章近50篇,申请中国发明专利30余项,授权中国发明专利15项,已培养毕业有机化学专业博士研究生6人,硕士研究生6人,目前在读硕士研究生3人。
